
01 運行維護
工業汽輪機作為一種高速動力機械,結構復雜,并且附屬設備較多,運行管理難度較大。所以對操作人員的素質要求也較高,必須熟悉汽輪機操作的有關知識、規程,在運行中精心操作,做好對各項工藝指標的監視和調整工作;及時發現和分析運行中出現的異常現象以及由于各種原因造成的事故,做到果斷準確地處理,防止事故擴大,確保機組安全、經濟、穩定運行。
1)蒸汽參數 蒸汽參數對汽輪機穩定運行影響很大,因為機組及其附屬設備的性能是根據主蒸汽額定的壓力、溫度設計的,如果主蒸汽參數不符合規定,整個機組的性能也就要發生很大變化,原設計的性能就不能得到保證。另外,機組、附屬設備和管道等的材料選擇和強度計算也是根據主蒸汽額定的壓力、溫度制定的,如果主蒸汽參數與額定規范相差很大,會給機組的安全和壽命帶來很大的影響,甚至很快就可能發生事故。因此對主蒸汽的參數必須嚴格按制造廠的要求進行控制,才能保證機組的性能和安全。
2)振動 振動是評價設備運行狀況的重要標志之一,是機組各部件及諸方面運行情況的集中反映。旋轉部件轉動時產生的擾動力是引起振動的主要原因。機組振動過大可能造成緊固件松弛、軸承磨損、動靜葉摩擦甚至汽輪機葉片疲勞斷裂等。
汽輪機發生異常振動是指振動值超出一般允許的范圍。振動急劇上升超出允許值,并無穩定趨勢時,應立即停機。振動突然或慢慢上升超過一般允許值,但可穩定在一定范圍,應及時進行分析和判斷,采取措施直至停機進行處理。
引起汽輪機機組異常振動的因素多種多樣,但從形成原因來看主要有三大類。
a. 結構方面的原因 即與機器設計、構造方面的缺點有關,這種原因是由制造廠帶來的,如果不從結構方面采取措施則不易消除。
b. 安裝方面的原因 機器在組合裝配和現場安裝方面的缺點造成的,這種異常振動如果確實找到原因的話,通過檢修或重裝可以消除。
c. 運行方面的原因 由于機器不正確的運行操作造成的,或者由于機器損傷或過度磨損形成的。這種原因通過正確操作、檢修是可以克服和避免的。
結構方面的原因,屬于設計、制造方面的問題,主要是制造廠的原因,后兩種原因則與使用單位有關。
3)轉子軸位移 轉子軸位移是汽輪機運行中的一個重要監測指標,轉子軸位移過大,能夠引啟動靜部件間軸向摩擦,造成事故。所以當汽輪機轉子軸位移增大時,說明汽輪機軸向推力增加或止推軸承工作失常,應立即減負荷,使軸位移降到正常值,同時檢查推力軸承溫度、機組振動等,找出原因并采取措施處理。嚴禁在轉子軸位移超過規定值的情況下強行運行。
可能造成軸向推力異常增大的原因主要有以下幾方面。
a.超負荷運行 超負荷運行時流量必然增大,超過正常值,機內各級前后的壓力差變大,軸向推力增加。如果負荷超過過多、過猛而使流量猛增,可使軸向推力驟然增加,因此運行時要控制好負荷。
b. 級間密封磨損 噴嘴隔板軸封磨損過多,造成間隙過大,漏汽量增大。因為由間隙漏過的蒸汽未經過噴嘴,保持很大的壓力,致使葉輪前面壓力增高,造成軸向推力增加。因此保持良好的級間密封,不僅可以保證經濟性,同時可以保證安全性。
c.葉片結垢 葉片結垢可使葉片通汽面積減少,使級前壓力增加,造成葉片的反動度增加,使軸向推力增大。因此必須經常注意汽輪機“監視段”的壓力,當監視段壓力超過規定值時應當及時采取措施。
d.水沖擊 當蒸汽中帶水進入汽輪機時,可以引起水沖擊,這時進汽溫度急劇下降,從軸封和各結合面不嚴密處冒出白色的濕汽或濺出水點,汽管內可聽見有水擊聲。由于水滴在軸向上打擊葉片并且堵塞通道,使葉片前、后壓差增大,使軸向推力大大增加。由于推力大大增加,推力瓦烏金溫度和出口油溫將上升,機組內產生金屬噪聲和水擊聲。
汽輪機發生水沖擊時,必須采取迅速、果斷措施,破壞真空,馬上停機,并開啟各疏水閥門,進行疏水,否則將會引起推力軸瓦熔化、軸封破壞、葉片碰毀等嚴重事故。
e.新蒸汽溫度過低 新蒸汽溫度過低時應當限制負荷并同時恢復新蒸汽溫度。如果不能恢復正常初溫則必須降低負荷,否則將引起流量大量增加,使軸向推力急劇加大。
f.負荷增加過快 當負荷突然快速增加時,流量突然加大,在葉片通道中的蒸汽加速、軸向分速度瞬時改變很大,使得葉片受到過大的軸向力,使整個轉子軸向推力增加。
4)通流部分結垢 汽輪機是蒸汽熱能動力機械,在蒸汽中含有鹽分,但運行中大部分鹽分隨蒸汽的冷凝回到冷凝液中,有少部分在汽輪機的通流部分中結垢殘留下來。通流部分結垢不僅影響汽輪機運行的經濟性,還直接影響汽輪機的安全運行。
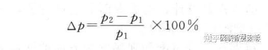
在進、排汽參數和通流部分有效流通面積符合設計時,汽輪機第一級后壓力與通過汽輪機蒸汽流量成正比,如因結垢使流通面積小于設計值時,欲維持相同的蒸汽流量或功率,則第一級后壓力與流通面積減小的程度成比例地增加。監視功率相同時汽輪機第一級后壓力的變化可判斷流通部分的結垢情況,通常稱第一級后壓力為監視段壓力。
定期比較在同樣操作條件下監視段壓力的變化,若監視段壓力緩慢上升則表示汽輪機通流部分有結垢產生。p1表示通流部分正常時監視段壓力,p2表示結垢后的壓力,壓力的增長率△p達到某一限度時,應對汽輪機通流部分進行清洗。

預防汽輪機通流部分結垢的方法是嚴格監視鍋爐給水的質量和蒸汽的品質,使其符合要求。汽輪機通流部分結垢后可采取不停機的辦法清洗,用濕蒸汽或在濕蒸汽中加堿溶液清洗。前者可清除溶于水中的大部分鹽分;后者還可除去大部分非溶于水的鹽分。也可利用停機檢修的機會對隔板和轉子上的結垢進行清洗。不停機清洗應根據機組的設計規范,制定方案進行。
02 停機維護
汽輪機停機分為正常停機和事故停機。正常停機應逐漸減負荷,然后按停機規程逐漸停車。事故停機是在設備故障情況下,為了保證人身、設備安全而進行的緊急處理。
汽輪機正常停機時,要檢查轉子。切斷汽輪機進汽后,轉子因慣性作用會發生惰走情況,轉子惰走時要用聽棒傾聽缸體內有無雜音。在同樣條件下,當汽輪機轉子惰走時間顯著縮短時,說明轉子可能與隔板、密封發生摩擦,或由于內部機件損壞發生碰刮;惰走時間明顯加長時,一般說明進汽閥關閉不嚴密而漏氣。
轉子靜止后要馬上投入盤車,防止轉子出現熱變形。盤車時間應按制造廠的規定進行,制造廠無規定時,高壓汽輪機連續盤車時間一般不少于12h,中壓機組連續盤車時間一般不應少于8h,在蒸汽室上溫度未降至150℃之前不得停止連續盤車。停止連續盤車后,每60min盤轉180°,至汽室溫度降至100℃。無連續盤車裝置的機組,應在轉子完全靜止后,2h之內每隔10min盤轉180°;2~4h內每隔30min盤轉180°;4~8h內每隔60min盤轉180°,直至蒸汽室上溫度降至100℃為止。
汽輪機停機后,油系統應繼續運行,以保證盤車時軸承潤滑油的供應,同時也為了帶走高溫轉子傳給軸承的熱量,防止軸瓦合金超溫,一般當軸承溫度低于43℃,軸承出口油溫降到38℃以下時才可以停潤滑油系。
鍋爐之家客服熱線:











